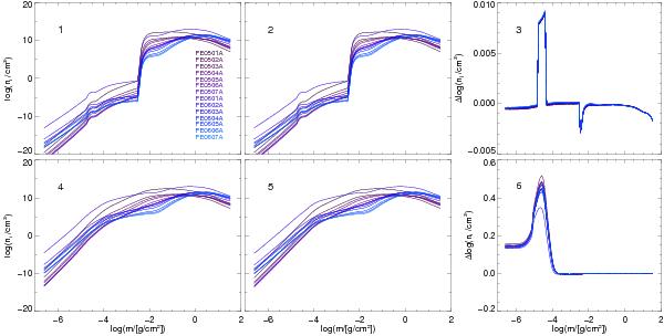
Fig. 2
 
      Effect of modified treatments of acceleration by line and photoionization transitions on occupation numbers of Fe v and Fe vi superlevels (Teff = 56 000 K, log g = 7.9). The six panels show: 1. Original treatment of bb and bf transitions. 2. New treatment of bf transitions. 3. Difference between the first two. 4. New procedure for bb transitions. 5. bf and bb refinements are implemented. 6. Difference between the last two. The legend in panel 1 refers to the superlevel designations.
Current usage metrics show cumulative count of Article Views (full-text article views including HTML views, PDF and ePub downloads, according to the available data) and Abstracts Views on Vision4Press platform.
Data correspond to usage on the plateform after 2015. The current usage metrics is available 48-96 hours after online publication and is updated daily on week days.
Initial download of the metrics may take a while.
