Free Access

Fig. 13

thumbnail

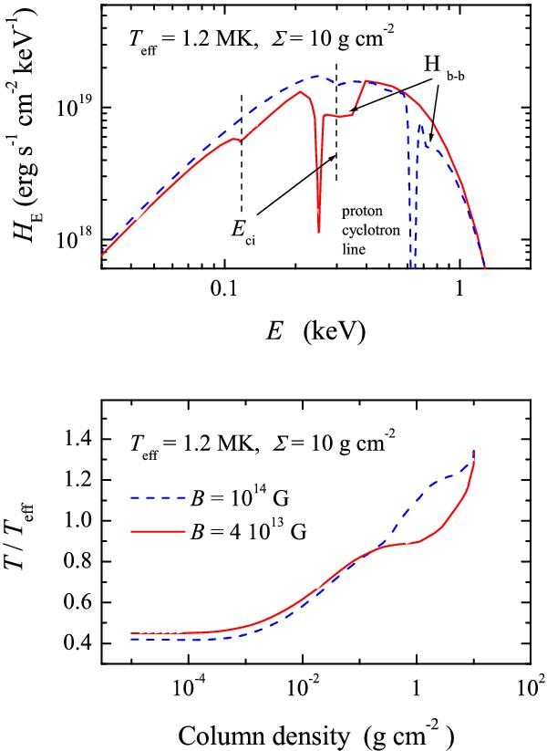
Comparison of emergent spectra (top panel) and temperature structures (bottom panel) of the fiducial model (solid curves) and the model atmosphere with different magnetic field (B = 1014 G), but with the same surface density (dashed curves).

Current usage metrics show cumulative count of Article Views (full-text article views including HTML views, PDF and ePub downloads, according to the available data) and Abstracts Views on Vision4Press platform.

Data correspond to usage on the plateform after 2015. The current usage metrics is available 48-96 hours after online publication and is updated daily on week days.

Initial download of the metrics may take a while.