Free Access

Fig. 6

thumbnail

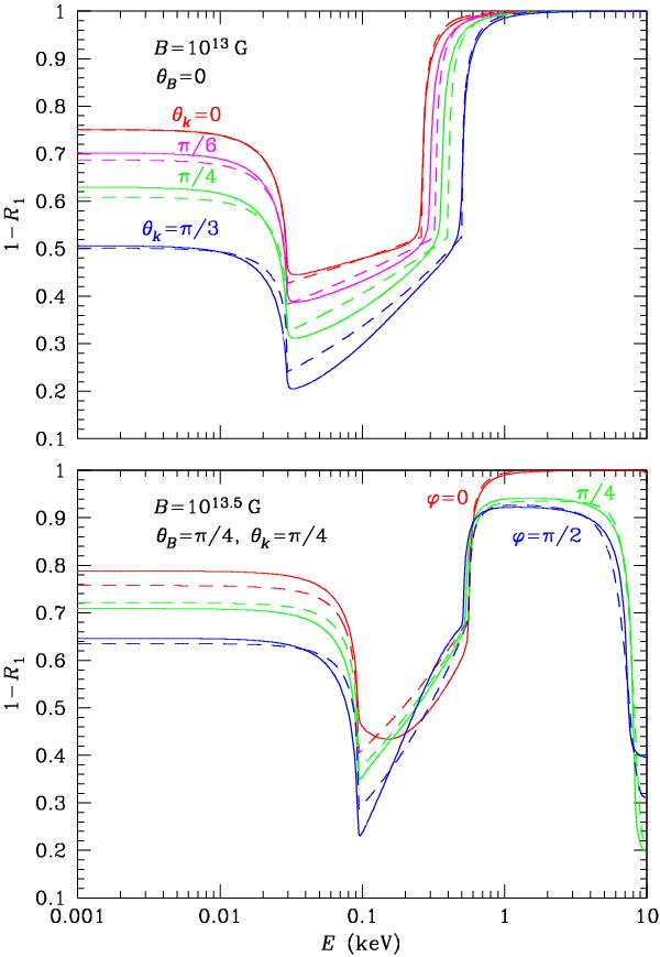
Dimensionless emissivity for the linear polarization e1, J1 = 1 − R1, as a function of photon energy E for condensed Fe surface at different magnetic field strengths and geometric settings. Top panel: magnetic field B = 1013 G is normal to the surface, and angles of radiation incidence are θk = 0, π/6, π/4, and π/3. Bottom panel: B = 1013.5 G, magnetic field lines and the photon beam are both inclined at θB = θk = π/4, and the azimuthal angle takes values ϕ = 0, π/4, and π/2. Solid lines show the numerical results, and dashed lines demonstrate the fit.

Current usage metrics show cumulative count of Article Views (full-text article views including HTML views, PDF and ePub downloads, according to the available data) and Abstracts Views on Vision4Press platform.

Data correspond to usage on the plateform after 2015. The current usage metrics is available 48-96 hours after online publication and is updated daily on week days.

Initial download of the metrics may take a while.