Free Access

Fig. 8

thumbnail

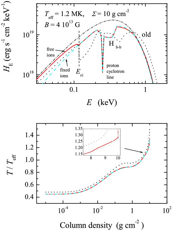
Emergent spectra (top panel) and temperature structures (bottom panel) for the fiducial model atmosphere (solid curve) and for model atmospheres that are calculated using the fixed-ions approximation for the reflectivity calculations (dashed curves), and the inner boundary condition from Paper II (dotted curves). In the top panel the diluted blackbody spectrum that fits the high-energy part of the fiducial model spectrum is also shown (dash-dotted curve).

Current usage metrics show cumulative count of Article Views (full-text article views including HTML views, PDF and ePub downloads, according to the available data) and Abstracts Views on Vision4Press platform.

Data correspond to usage on the plateform after 2015. The current usage metrics is available 48-96 hours after online publication and is updated daily on week days.

Initial download of the metrics may take a while.