Free Access
    
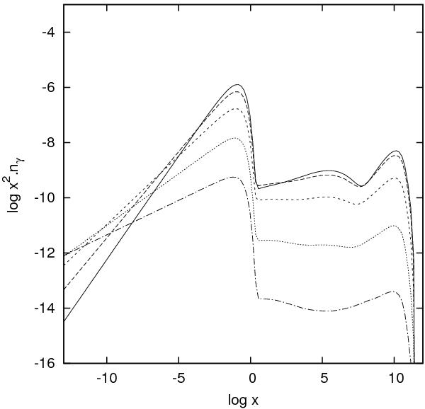
Fig. 12
 
      MW steady-state spectra of photons resulting from variable power-law proton injection with γp,min = 10, γp,max = 108, ℓp = 0.1, tp,esc = tcr, R = 3 × 1016 cm, B = 1 G, and s taking the values of 1.5 to 2.5 with increments of 0.25 (top to bottom).
Current usage metrics show cumulative count of Article Views (full-text article views including HTML views, PDF and ePub downloads, according to the available data) and Abstracts Views on Vision4Press platform.
Data correspond to usage on the plateform after 2015. The current usage metrics is available 48-96 hours after online publication and is updated daily on week days.
Initial download of the metrics may take a while.
