Free Access

Fig. 5

thumbnail

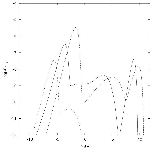
Steady state MW spectrum of photons resulting from a monoenergetic proton injection with γ0 = 3 × 105 (dotted line), 3 × 106 (full line), and 3 × 107 (dashed line). The other parameters are R = 3 × 1016 cm, B = 1 G, p = 0.4, and tp,esc = tcr.

Current usage metrics show cumulative count of Article Views (full-text article views including HTML views, PDF and ePub downloads, according to the available data) and Abstracts Views on Vision4Press platform.

Data correspond to usage on the plateform after 2015. The current usage metrics is available 48-96 hours after online publication and is updated daily on week days.

Initial download of the metrics may take a while.