Free Access

Fig. 13

thumbnail

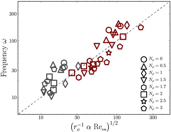
Frequencies of oscillatory dynamos plotted against the dispersion relation of Parker waves given in Eq. (22). Red (grey) symbols correspond to simulations in thick (thin) shells (η = 0.2 and η = 0.6, respectively). Each type of symbol is associated to a specific density stratification.

Current usage metrics show cumulative count of Article Views (full-text article views including HTML views, PDF and ePub downloads, according to the available data) and Abstracts Views on Vision4Press platform.

Data correspond to usage on the plateform after 2015. The current usage metrics is available 48-96 hours after online publication and is updated daily on week days.

Initial download of the metrics may take a while.