Free Access
    
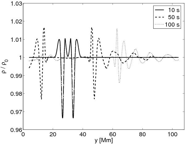
Fig. 2
 
      Profiles of the normalized mass density along the vertical axis (x = 0) of the current-sheet at times t = 10 s (solid line), 50 s (dashed line) and 100 s (dotted line) for the gravity-free case. The semi-width of the current-sheet is wCS = 1.0 Mm.
Current usage metrics show cumulative count of Article Views (full-text article views including HTML views, PDF and ePub downloads, according to the available data) and Abstracts Views on Vision4Press platform.
Data correspond to usage on the plateform after 2015. The current usage metrics is available 48-96 hours after online publication and is updated daily on week days.
Initial download of the metrics may take a while.
