Free Access
    
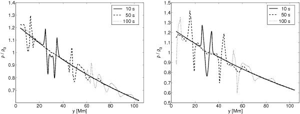
Fig. 3
 
      Profiles of the normalized mass density along the vertical axis of the current-sheet (x = 0) at times t = 10 s (solid line), 50 s (dashed line) and 100 s (dotted line) for the case of the gravity, longer scale-height and two semi-widths of the current-sheet wCS = 1.0 Mm (left) and wCS = 1.5 Mm (right).
This figure is made of several images, please see below:
    
    
  
Current usage metrics show cumulative count of Article Views (full-text article views including HTML views, PDF and ePub downloads, according to the available data) and Abstracts Views on Vision4Press platform.
Data correspond to usage on the plateform after 2015. The current usage metrics is available 48-96 hours after online publication and is updated daily on week days.
Initial download of the metrics may take a while.
 
  
          