Free Access

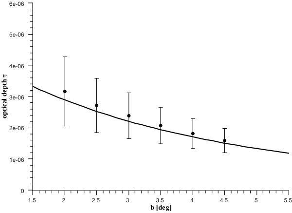
Fig. 6

thumbnail

Monte Carlo simulation of the optical depth (and standard deviation) at various latitudes b (solid circles+bars), compared with another model (discussed earlier) assuming the sources of light to be located on the symmetry axis (solid line).

Current usage metrics show cumulative count of Article Views (full-text article views including HTML views, PDF and ePub downloads, according to the available data) and Abstracts Views on Vision4Press platform.

Data correspond to usage on the plateform after 2015. The current usage metrics is available 48-96 hours after online publication and is updated daily on week days.

Initial download of the metrics may take a while.