Free Access

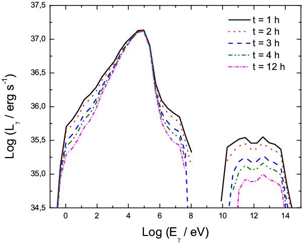
Fig. 7

thumbnail

Evolution of the luminosity during a flare of  ~2 h of duration. Since the cooling time scales in the corona are significantly shorter than flare time scales, the shape of the spectrum does not change and just shows decreasing luminosity levels as the flare evolves.

Current usage metrics show cumulative count of Article Views (full-text article views including HTML views, PDF and ePub downloads, according to the available data) and Abstracts Views on Vision4Press platform.

Data correspond to usage on the plateform after 2015. The current usage metrics is available 48-96 hours after online publication and is updated daily on week days.

Initial download of the metrics may take a while.