Free Access

Fig. 3

thumbnail

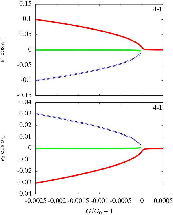
2:1 ACR positions as functions of G. The star mass is given by m0 = m and planets masses by m1 = m2 = m ⊕ . The Hamiltonian is developed up to degree 4-1. Elliptic (stable) ACR are plotted using continuous lines whereas hyperbolic (unstable) ACR are plotted using dashed lines. At this degree of development, all ACR have sinσ1 = sinσ2 = 0.

Current usage metrics show cumulative count of Article Views (full-text article views including HTML views, PDF and ePub downloads, according to the available data) and Abstracts Views on Vision4Press platform.

Data correspond to usage on the plateform after 2015. The current usage metrics is available 48-96 hours after online publication and is updated daily on week days.

Initial download of the metrics may take a while.