Free Access

Fig. 1

thumbnail

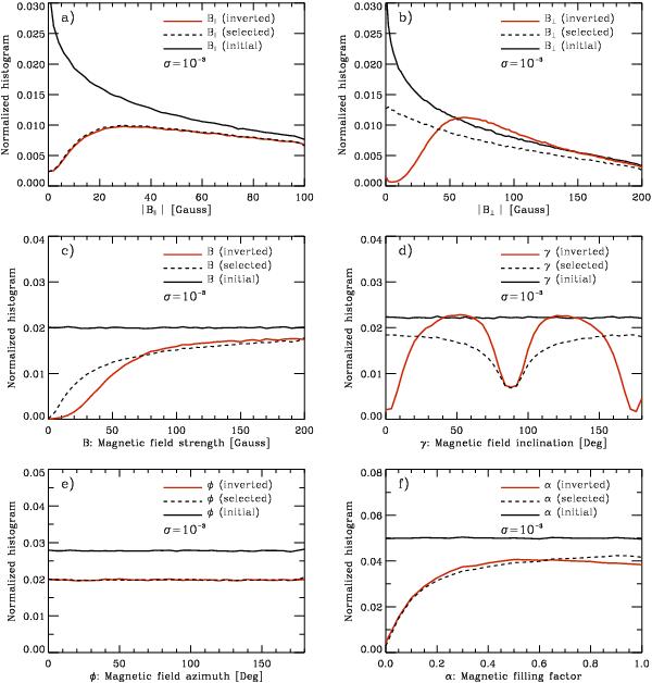
Results of the numerical experiment of the synthesis and inversion of Stokes profiles. The level noise added is σ = 10-3. Solid-black lines indicate the original distributions employed in the synthesis of 2 × 106 Stokes profiles (Eq. (3)). Dashed lines show the distributions obtained employing only the Stokes profiles that are selected with the S/Rquv-criterion. The red lines display the distributions obtained from the inversion of the selected profiles: a) the absolute value of the component of the magnetic field vector that is parallel to the observer’s line-of-sight |B| = |Bcosγ|; b) the component of the magnetic field vector that is perpendicular to the observer’s line-of-sight B = Bsinγ; c) the magnetic field strength or module of the magnetic field vector B; d) the inclination of the magnetic field vector with respect to the observer’s line-of-sight γ; e) the azimuthal angle of the magnetic field vector on the plane that is perpendicular to the observer’s line-of-sight φ; f) the magnetic filling factor α. In all panels, the dashed-black and solid-red curves are normalized to the quotient of the number of profiles selected with each particular criteria to the total number of profiles synthesized (2 × 106).

This figure is made of several images, please see below:

Current usage metrics show cumulative count of Article Views (full-text article views including HTML views, PDF and ePub downloads, according to the available data) and Abstracts Views on Vision4Press platform.

Data correspond to usage on the plateform after 2015. The current usage metrics is available 48-96 hours after online publication and is updated daily on week days.

Initial download of the metrics may take a while.