Open Access

Fig. 10

thumbnail

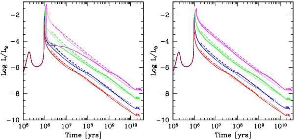
Luminosity as a function of time for planets with a mass of 1, 2, 5, and 10 MX, as labeled in the plot. The left panel shows the case of “cold start” boundary conditions, where all accretional energy is radiated away at the shock, while the right panel shows “hot start (accreting)” models where no radiative losses occur. The dotted lines show for comparison the results of Burrows et al. (1997), while the dashed lines show Baraffe et al. (2003). Both these models use the classical “hot start” scenario. The “cold start” 1 MX simulation is the same as shown in Fig. 3.

This figure is made of several images, please see below:

Current usage metrics show cumulative count of Article Views (full-text article views including HTML views, PDF and ePub downloads, according to the available data) and Abstracts Views on Vision4Press platform.

Data correspond to usage on the plateform after 2015. The current usage metrics is available 48-96 hours after online publication and is updated daily on week days.

Initial download of the metrics may take a while.