Open Access

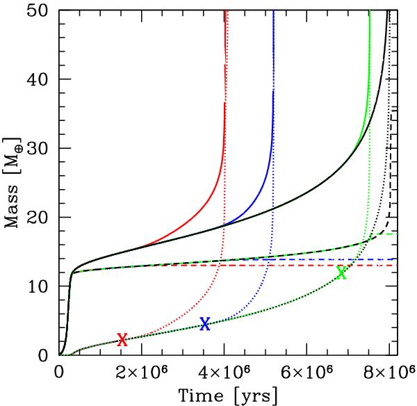
Fig. A.1

thumbnail

Total mass (solid line), envelope mass (dotted line), and core mass (dashed line) for the cases J1 (black), J1a (red), J1b (blue), and J1c (green). The X-symbols indicate the moment in time when Z is artificially ramped down for the latter three simulations.

Current usage metrics show cumulative count of Article Views (full-text article views including HTML views, PDF and ePub downloads, according to the available data) and Abstracts Views on Vision4Press platform.

Data correspond to usage on the plateform after 2015. The current usage metrics is available 48-96 hours after online publication and is updated daily on week days.

Initial download of the metrics may take a while.