Open Access

Fig. 2

thumbnail

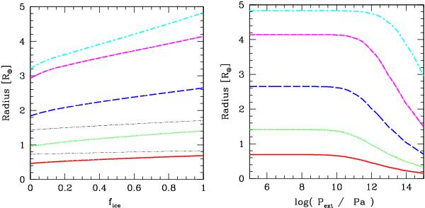
Left panel: influence of the ice mass fraction fice on the radius. The reminder of the mass has a rocky composition. Radii are plotted for planets of M = 0.1   M (red solid line), 1 M (green dotted line), 10 M (blue dashed), 100 M (magenta dashed-dotted), and 1000 M (cyan short-long dashed), all without an external pressure. The thin black short-dashed-dotted line is for a 10 M core of an old 1 MX giant planet, and the thin black long-dashed-dotted line is for the 10 M core of a 10 MX giant. Right panel: radius as a function of external pressure Pext for pure ice planets. The (thick) lines represent the same planet masses as in the left panel.

This figure is made of several images, please see below:

Current usage metrics show cumulative count of Article Views (full-text article views including HTML views, PDF and ePub downloads, according to the available data) and Abstracts Views on Vision4Press platform.

Data correspond to usage on the plateform after 2015. The current usage metrics is available 48-96 hours after online publication and is updated daily on week days.

Initial download of the metrics may take a while.