Open Access

Fig. 3

thumbnail

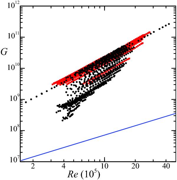
The scaling of the dimensionless torque G with the Reynolds number Re is independent of the rotation number RΩ, however the amplitude varies as in Paoletti & Lathrop (2011); van Gils et al. (2011b). The measurements by Paoletti & Lathrop (2011) are in black circles while the data from van Gils et al. (2011b) are shown by red squares. The thick blue line indicates the theoretical value for purely laminar flow, where angular momentum is transported only by molecular viscosity.

Current usage metrics show cumulative count of Article Views (full-text article views including HTML views, PDF and ePub downloads, according to the available data) and Abstracts Views on Vision4Press platform.

Data correspond to usage on the plateform after 2015. The current usage metrics is available 48-96 hours after online publication and is updated daily on week days.

Initial download of the metrics may take a while.