Open Access

Fig. 5

thumbnail

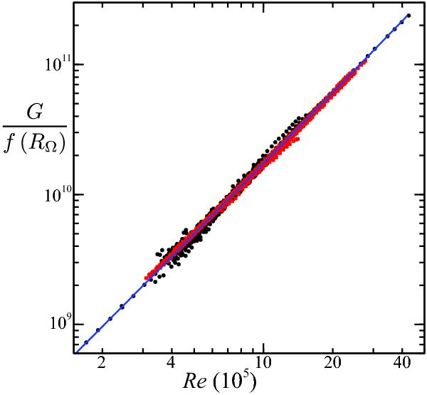
The dimensionless torque G may be compensated by the fit f(RΩ) given by Eq. (12). The data from both Paoletti & Lathrop (2011) (black circles) and van Gils et al. (2011b) (red squares) agree with the best fit from Lewis & Swinney (1999) for the case where the outer cylinder was stationary (blue line).

Current usage metrics show cumulative count of Article Views (full-text article views including HTML views, PDF and ePub downloads, according to the available data) and Abstracts Views on Vision4Press platform.

Data correspond to usage on the plateform after 2015. The current usage metrics is available 48-96 hours after online publication and is updated daily on week days.

Initial download of the metrics may take a while.