Free Access

Fig. 2

thumbnail

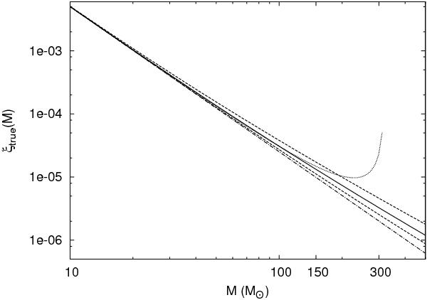
The “true” IMF, ξtrue(M), as corrected for the ejected stars assuming the “observed” IMF, ξ(M), to be the Salpeter/canonical power law ξ(M) ∝ M-2.3 (represented by the dash-dotted line). The true IMF is related to the observed IMF by Eq. (4). The upper dashed, the lower dashed, the central solid and the dotted lines correspond to those in Fig. 1 respectively. It can be noted that the correction of the observed IMF due to the dynamical ejection of massive stars can amount to a moderately top-heavy true IMF (the dashed and the solid lines). However, the data in Fig. 1 is also supportive of a substantially higher top-heaviness (the dotted line).

Current usage metrics show cumulative count of Article Views (full-text article views including HTML views, PDF and ePub downloads, according to the available data) and Abstracts Views on Vision4Press platform.

Data correspond to usage on the plateform after 2015. The current usage metrics is available 48-96 hours after online publication and is updated daily on week days.

Initial download of the metrics may take a while.