Free Access

Fig. 1

thumbnail

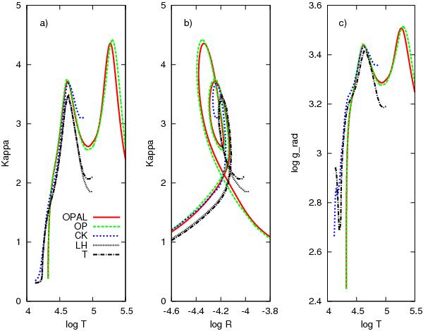
Panel a) The Rosseland-mean opacities, κR    [cm2   g-1] , as a function of lgT for Castelli & Kurucz (2003) (marked as CK line) and Lanz & Hubeny (2007) (LH line) models of  K and lgg = 4.0 in comparison with OPAL (OPAL line) and OP (OP line) stellar envelope models. A non-LTE model calculated for a more complex model of O V ion (cf. Sect. 4.3) is also shown (T line). Panel b) The same as panel a), but on κR vs. lgR diagram. Panel c) The same as panel a), but for the radiation pressure gradients (in cgs units) as a function of lgT.

Current usage metrics show cumulative count of Article Views (full-text article views including HTML views, PDF and ePub downloads, according to the available data) and Abstracts Views on Vision4Press platform.

Data correspond to usage on the plateform after 2015. The current usage metrics is available 48-96 hours after online publication and is updated daily on week days.

Initial download of the metrics may take a while.