Free Access

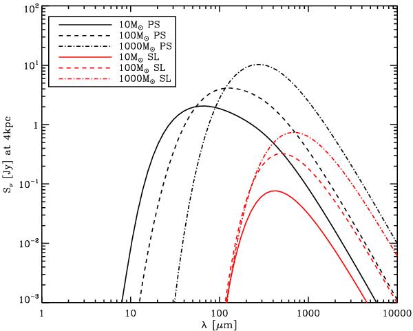
Fig. 10

thumbnail

Results of TRANSPHERE-1D radiative transfer calculations for a 10, 100, 1000 M protostellar (PS) and starless (SL) cores with the standard B+D hybrid model for the ISRF. The black lines represent the protostellar cases for 10 M (solid line), 100 M (dashed line), and 1000 M (dashed-dotted line). The red lines represent the same masses but without a central protostar.

Current usage metrics show cumulative count of Article Views (full-text article views including HTML views, PDF and ePub downloads, according to the available data) and Abstracts Views on Vision4Press platform.

Data correspond to usage on the plateform after 2015. The current usage metrics is available 48-96 hours after online publication and is updated daily on week days.

Initial download of the metrics may take a while.