Free Access

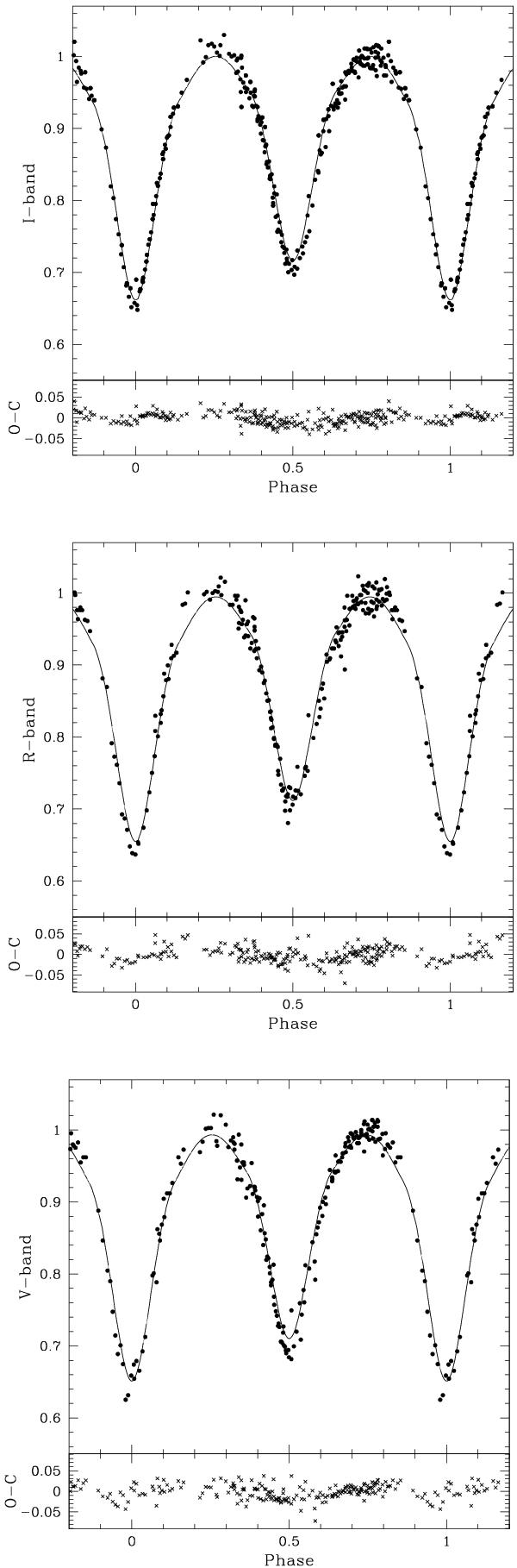
Fig. 5

thumbnail

Phased light curves of W36 in the I,R and V-band in units of normalized light, with best fit PHOEBE model overplotted (contact configuration). The apparent magnitudes outside of eclipse are I = 13.1, R = 15.8 and V = 18.85. The lower panel in each light curve shows the O − C residuals.

This figure is made of several images, please see below:

Current usage metrics show cumulative count of Article Views (full-text article views including HTML views, PDF and ePub downloads, according to the available data) and Abstracts Views on Vision4Press platform.

Data correspond to usage on the plateform after 2015. The current usage metrics is available 48-96 hours after online publication and is updated daily on week days.

Initial download of the metrics may take a while.