Free Access

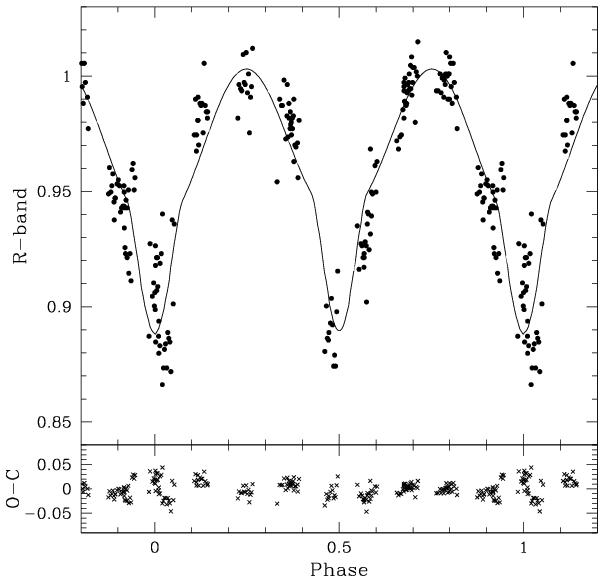
Fig. 6

thumbnail

Phased R-band light curve of W13 in units of normalized light, with best fit PHOEBE model overplotted (detached configuration). The apparent magnitude outside of eclipse is R = 14.65. The lower panel in the light curve shows the O − C residuals.

Current usage metrics show cumulative count of Article Views (full-text article views including HTML views, PDF and ePub downloads, according to the available data) and Abstracts Views on Vision4Press platform.

Data correspond to usage on the plateform after 2015. The current usage metrics is available 48-96 hours after online publication and is updated daily on week days.

Initial download of the metrics may take a while.