Free Access

Fig. 10

thumbnail

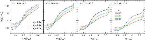
ZAHB loci for different metallicities (increasing from upper left to bottom right) and initial helium abundances. For each Y value, ZAHB loci were constructed using three RGB progenitors with different initial masses (Mi), which can be related to an age dependence of the ZAHB, which is particularly evident at low metallicities.

Current usage metrics show cumulative count of Article Views (full-text article views including HTML views, PDF and ePub downloads, according to the available data) and Abstracts Views on Vision4Press platform.

Data correspond to usage on the plateform after 2015. The current usage metrics is available 48-96 hours after online publication and is updated daily on week days.

Initial download of the metrics may take a while.