Free Access

Fig. 13

thumbnail

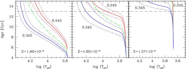
Effective temperature of the stars arriving to the ZAHB for ages between 4 and 15 Gyr for 3 initial helium abundances Y = 0.245 (coolest continuous line), Y = 0.295 (dotted-dashed line) and Y = 0.345 (hottest continuous line), and 3 metallicities: 1.60 × 10-4 (left panel), 1.60 × 10-3 (middle panel), and 1.57 × 10-2 (right panel). Dotted lines show the change in the effective temperatures when a dispersion of 0.02 M in the total mass loss is considered. Dashed line shows an age of 13 Gyr.

Current usage metrics show cumulative count of Article Views (full-text article views including HTML views, PDF and ePub downloads, according to the available data) and Abstracts Views on Vision4Press platform.

Data correspond to usage on the plateform after 2015. The current usage metrics is available 48-96 hours after online publication and is updated daily on week days.

Initial download of the metrics may take a while.