Free Access

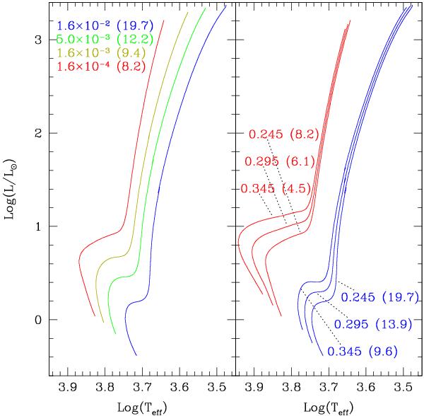
Fig. 6

thumbnail

Evolutionary tracks for stars with 0.9 M from the MS to the tip of the RGB. The left panel shows the effects produced by different metallicities (from left to right: Z = 1.6 × 10-4, 1.6 × 10-3, 5.03 × 10-3, and 1.57 × 10-2) with Y = 0.245. The effects produced by different helium abundances (Y = 0.245, 0.295, and 0.345) for two metallicities ([Fe/H] = −2.25, and −0.25) are shown in the right panel. In parentheses are labeled the age in Gyr at the RGB tip for each evolutionary track.

Current usage metrics show cumulative count of Article Views (full-text article views including HTML views, PDF and ePub downloads, according to the available data) and Abstracts Views on Vision4Press platform.

Data correspond to usage on the plateform after 2015. The current usage metrics is available 48-96 hours after online publication and is updated daily on week days.

Initial download of the metrics may take a while.