Free Access

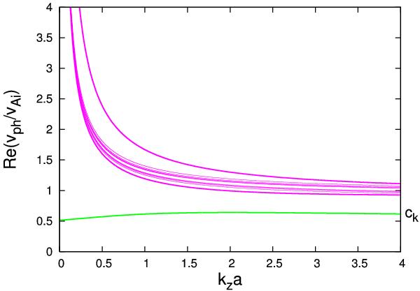
Fig. 4

thumbnail

Dispersion curves of kink waves propagating along a twisted magnetic flux tube at η = 2, Be/Bi = 0, Biφ/Bi = 0.4, and MA = 0. The green curve is the dispersion curve of the wave associated with the kink speed ck. The purple curves depict all 11 dispersion curves; 9 of them are divided into two sub-groups. The “evolution” of those curves when increasing kza can be seen in the next figure, which shows them near the left top and right bottom corners of the plot.

Current usage metrics show cumulative count of Article Views (full-text article views including HTML views, PDF and ePub downloads, according to the available data) and Abstracts Views on Vision4Press platform.

Data correspond to usage on the plateform after 2015. The current usage metrics is available 48-96 hours after online publication and is updated daily on week days.

Initial download of the metrics may take a while.