Free Access

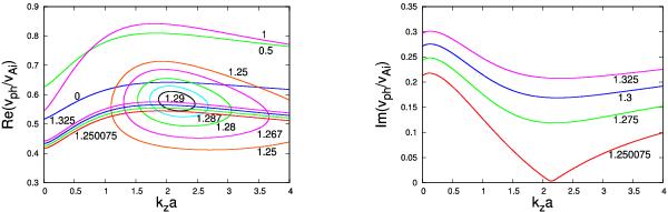
Fig. 6

thumbnail

(Left panel) Dispersion curves of forward-propagating stable and unstable kink waves in a twisted magnetic flux tube with the same input parameters as in Fig. 4 for various values of the Alfvén-Mach number MA. (Right panel) Growth rates of the unstable kink waves for MA = 1.250075,1.275,1.3, and 1.325.

Current usage metrics show cumulative count of Article Views (full-text article views including HTML views, PDF and ePub downloads, according to the available data) and Abstracts Views on Vision4Press platform.

Data correspond to usage on the plateform after 2015. The current usage metrics is available 48-96 hours after online publication and is updated daily on week days.

Initial download of the metrics may take a while.