Free Access

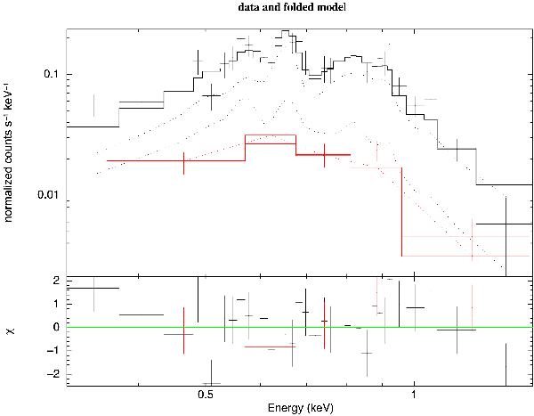
Fig. 4

thumbnail

Best-fit 2 NEI model plotted on the MOS 2 spectra of the superbubble and blowout regions from the effective 23 ks observation. The spectrum of Region A is plotted in black, the spectrum of Region B in red. The components of the spectral fits are indicated by the dotted lines. The spectra are binned to a signal-to-noise ratio of 3.

Current usage metrics show cumulative count of Article Views (full-text article views including HTML views, PDF and ePub downloads, according to the available data) and Abstracts Views on Vision4Press platform.

Data correspond to usage on the plateform after 2015. The current usage metrics is available 48-96 hours after online publication and is updated daily on week days.

Initial download of the metrics may take a while.