Free Access

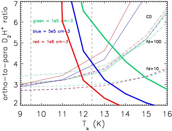
Fig. 5

thumbnail

Variation of the ortho-to-para D2H+ ratio as a function of the gas temperature, for densities of 1 × 105 (green), 5 × 105 (blue) and 1 × 106 (red) cm-3. The thick lines show the ratio derived from observations, using non-LTE modeling, and can be considered as upper limits, whereas the thin lines show the chemical model results. Three depletion factors at steady-state are presented: complete depletion (CD: solid lines), depletion factor =100 (dot-dashed lines) and depletion factor =10 (dashed lines). The thin dashed vertical lines present the [9.5–12.4] K range.

Current usage metrics show cumulative count of Article Views (full-text article views including HTML views, PDF and ePub downloads, according to the available data) and Abstracts Views on Vision4Press platform.

Data correspond to usage on the plateform after 2015. The current usage metrics is available 48-96 hours after online publication and is updated daily on week days.

Initial download of the metrics may take a while.