Free Access

Fig. 6

thumbnail

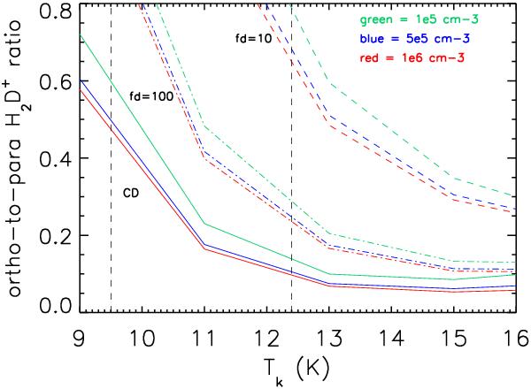
Prediction of the ortho-to-para H2D+ ratio as a function of the gas temperature, for densities of 1 × 105 (green), 5 × 105 (blue) and 1 × 106 (red) cm-3. Three depletion factors at steady-state are presented: complete depletion (CD: solid lines), depletion factor =100 (dot-dashed lines) and depletion factor =10 (dashed lines). The thin dashed vertical lines present the [9.5–12.4] K range.

Current usage metrics show cumulative count of Article Views (full-text article views including HTML views, PDF and ePub downloads, according to the available data) and Abstracts Views on Vision4Press platform.

Data correspond to usage on the plateform after 2015. The current usage metrics is available 48-96 hours after online publication and is updated daily on week days.

Initial download of the metrics may take a while.