Free Access

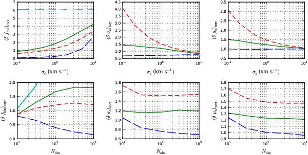
Fig. 3

thumbnail

From left to right the second-order corrections of the uncertainties of the binary fraction (δfbin)corr, the velocity dispersion (δσc)corr, and the mean velocity (δμc)corr. The top panels show the dependency of these corrections on the velocity dispersion of the cluster (σc) and the lower panels show their dependency the sample size (Nobs). These corrections have been computed for the a binary fraction of 0% (blue), 50% (green), and 100% (red). They can be used to calculate the one-sigma uncertainties using Eqs. (7a)–(7c). This allows for the estimation of the accuracy with which the intrinsic velocity distribution can be measured before any radial velocity data has been taken, as long as an estimate for the velocity dispersion and binary fraction are available. The cyan lines in the left panels show the lines with δfbin = 0.34, which is the expected uncertainty if the binary fraction is unconstrained (i.e. a flat probability distribution between 0 and 1).

Current usage metrics show cumulative count of Article Views (full-text article views including HTML views, PDF and ePub downloads, according to the available data) and Abstracts Views on Vision4Press platform.

Data correspond to usage on the plateform after 2015. The current usage metrics is available 48-96 hours after online publication and is updated daily on week days.

Initial download of the metrics may take a while.