Press Release
Free Access

Fig. 6

thumbnail

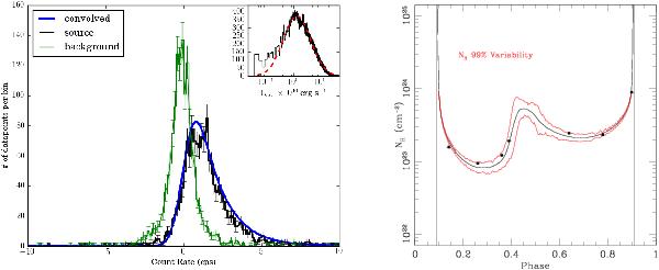
Results from the simulation v5.5_ML10_A175_MN195. Left: the histogram of observed light-curve (black), the background fluctuation (green), and the convolution of the simulated data with the latter (blue). The inset shows the corresponding distribution of the simulated. light-curve (black) with a log-normal fit (red dashed curve). Right: the corresponding simulated time-averaged absorbing column density, together with its 99 % temporal variability, and the observed data from MW11. (This figure is available in color in electronic form.)

This figure is made of several images, please see below:

Current usage metrics show cumulative count of Article Views (full-text article views including HTML views, PDF and ePub downloads, according to the available data) and Abstracts Views on Vision4Press platform.

Data correspond to usage on the plateform after 2015. The current usage metrics is available 48-96 hours after online publication and is updated daily on week days.

Initial download of the metrics may take a while.