Free Access

Fig. 14

thumbnail

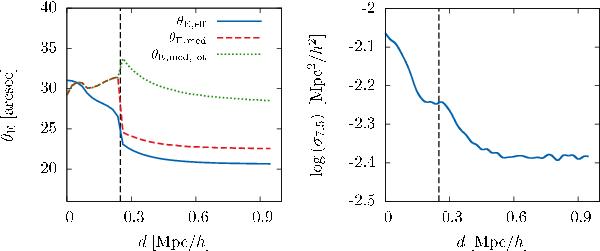
Evolution of different definitions of Einstein radii (see text) and the lensing cross section during a simulated cluster merger, assuming configuration (A) of Fig. 12. All quantities are plotted as a function of the distance between the two halo centres. The dashed vertical line indicates the moment when the tangential critical curves merge.

Current usage metrics show cumulative count of Article Views (full-text article views including HTML views, PDF and ePub downloads, according to the available data) and Abstracts Views on Vision4Press platform.

Data correspond to usage on the plateform after 2015. The current usage metrics is available 48-96 hours after online publication and is updated daily on week days.

Initial download of the metrics may take a while.