Free Access

Fig. 15

thumbnail

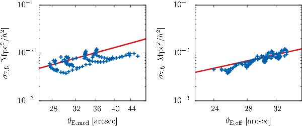
Comparison of the correlation between Einstein radii and lensing cross sections for a sample of isolated triaxial dark matter haloes to the same correlation for a sample of merging triaxial dark matter haloes. The red solid line in the left (right) diagram indicates the best linear fit relation between median (effective) Einstein radii and lensing cross sections found for a sample of triaxial dark matter haloes at redshift zl = 0.5. The blue crosses represent selected pairs of Einstein radii and lensing cross sections during cluster mergers (see text for details).

Current usage metrics show cumulative count of Article Views (full-text article views including HTML views, PDF and ePub downloads, according to the available data) and Abstracts Views on Vision4Press platform.

Data correspond to usage on the plateform after 2015. The current usage metrics is available 48-96 hours after online publication and is updated daily on week days.

Initial download of the metrics may take a while.