Free Access

Fig. 9

thumbnail

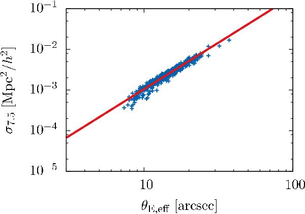
Strong correlation between effective Einstein radii θE,eff and lensing cross sections σ7.5 for a cosmological population of triaxial dark matter haloes (M > 5 × 1014  M   h-1) at redshifts zl > 0.5, adopting a density profile with inner slope α = 1.5. The population was drawn assuming a WMAP7 cosmology. The red solid line indicates the best linear fit relation between log    (σ7.5) and log    (θE,eff).

Current usage metrics show cumulative count of Article Views (full-text article views including HTML views, PDF and ePub downloads, according to the available data) and Abstracts Views on Vision4Press platform.

Data correspond to usage on the plateform after 2015. The current usage metrics is available 48-96 hours after online publication and is updated daily on week days.

Initial download of the metrics may take a while.