Free Access

Fig. 10

thumbnail

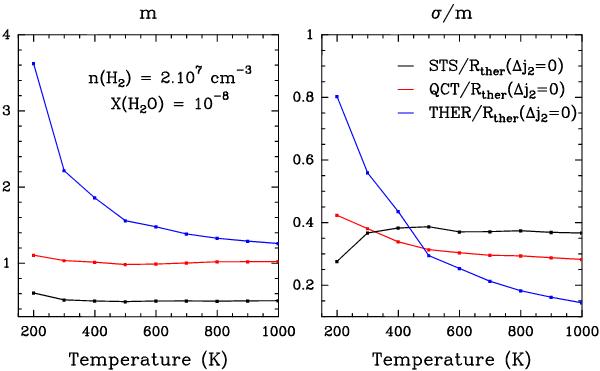
Comparison of the mean (left column) and normalised standard deviation (right column) obtained for the ratios and dealing with p–H2. The approximation consists in neglecting the terms with Δj2 ≥ 2 in the calculation of the thermalised CRC. The results obtained with this approximation are compared to the quantum state-to-state CRC (black lines) from Dubernet et al. (2009) and Daniel et al. (2011), the QCT CRC (red lines) from Faure et al. (2007) and thermalised CRC (blue lines) from Dubernet et al. (2009) and Daniel et al. (2011).

Current usage metrics show cumulative count of Article Views (full-text article views including HTML views, PDF and ePub downloads, according to the available data) and Abstracts Views on Vision4Press platform.

Data correspond to usage on the plateform after 2015. The current usage metrics is available 48-96 hours after online publication and is updated daily on week days.

Initial download of the metrics may take a while.