Free Access

Fig. 7

thumbnail

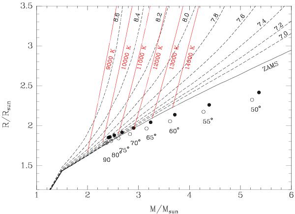
Position of the components of 66 Eri in the M-R diagram for inclinations in the range 50−90° with a step of 2°. With Teff = 11 077 K for the primary and Teff = 10 914 K for the secondary, we obtain an inclination of 73.7°. Both components are located very close to the ZAMS. Open circles indicate the position of the secondary component.

Current usage metrics show cumulative count of Article Views (full-text article views including HTML views, PDF and ePub downloads, according to the available data) and Abstracts Views on Vision4Press platform.

Data correspond to usage on the plateform after 2015. The current usage metrics is available 48-96 hours after online publication and is updated daily on week days.

Initial download of the metrics may take a while.