Free Access

Fig. 9

thumbnail

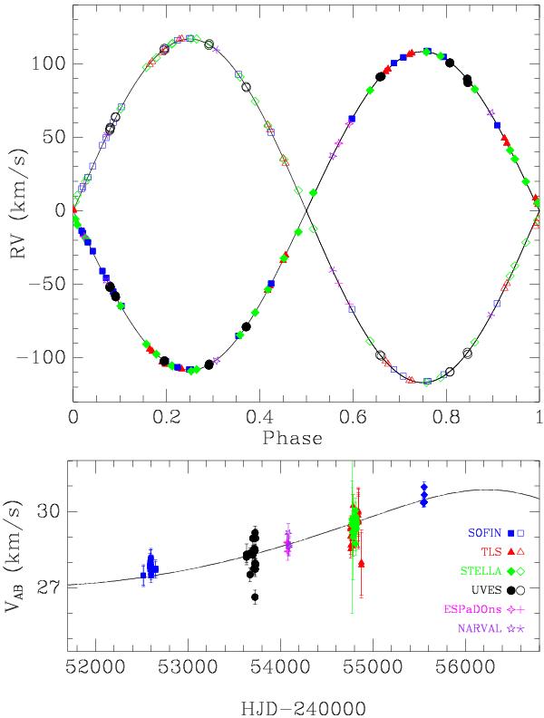
Spectroscopic orbit of the eclipsing system AR Aur using SOFIN spectra obtained in 2002 and 2010 (blue squares), UVES spectra from 2005 (black dots), TLS-STELLA spectra from 2008/2009 (red triangles and green diamonds), three ESPaDOnS spectra (pluses), and four NARVAL spectra (stars). Open symbols indicate the measurements of the secondary component, which is the less massive star. The upper panel shows the velocity of the components of the eclipsing pair with respect to the center-of-mass of the binary; the lower panel shows the systemic velocity of the pair AB with respect to the center-of-mass of the triple system.

Current usage metrics show cumulative count of Article Views (full-text article views including HTML views, PDF and ePub downloads, according to the available data) and Abstracts Views on Vision4Press platform.

Data correspond to usage on the plateform after 2015. The current usage metrics is available 48-96 hours after online publication and is updated daily on week days.

Initial download of the metrics may take a while.