Free Access

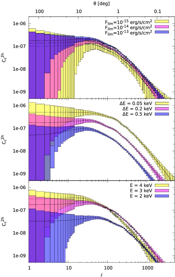
Fig. 7

thumbnail

The changes in the extracted line signal angular power spectra for Model I by allowing Flim (upper panel), ΔE (middle panel), and E (lower panel) to vary. In the upper panel E = 3.0 keV, ΔE = 0.2 keV, in the middle panel E = 3.0 keV, Flim = 10-13 erg/s/cm2, and in the lower panel ΔE = 0.2 keV, Flim = 10-13 erg/s/cm2. The flux-to-photon count conversion factor is again fixed to 500 counts at 10-13 erg/s/cm2.

Current usage metrics show cumulative count of Article Views (full-text article views including HTML views, PDF and ePub downloads, according to the available data) and Abstracts Views on Vision4Press platform.

Data correspond to usage on the plateform after 2015. The current usage metrics is available 48-96 hours after online publication and is updated daily on week days.

Initial download of the metrics may take a while.