Free Access

Fig. 3

thumbnail

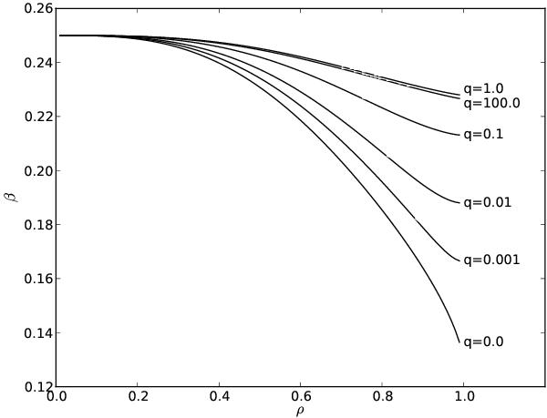
Left: distribution of Teff at the surface in one hemisphere of the primary, projected in the plane XZ for several combinations of the mass ratio q = M2/M1 and the filling factor ρ. Right: logarithmic plot of Teff versus geff for the same cases. Solid lines are linear fits to the data and the corresponding value of the gravity darkening exponent β is indicated in the plots. For comparison, von Zeipel’s law (β = 0.25) is shown by a dashed line. In the second row an inset shows the small dispersion of the points around the fitting power law. The last case (q = 0) corresponds to an isolated star rotating with angular velocity Ω = 0.854Ωk. Normalised values of effective temperature and gravity are defined in Eq. (22).

Current usage metrics show cumulative count of Article Views (full-text article views including HTML views, PDF and ePub downloads, according to the available data) and Abstracts Views on Vision4Press platform.

Data correspond to usage on the plateform after 2015. The current usage metrics is available 48-96 hours after online publication and is updated daily on week days.

Initial download of the metrics may take a while.