Free Access

Fig. 10

thumbnail

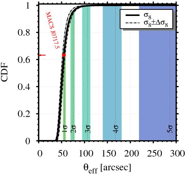
CDF of the largest effective Einstein radius, assuming a redshift interval of 0.5 ≤ z ≤ 1.0, the full sky and a source redshift of zs = 2.5. The dashed-dotted lines illustrate the uncertainty in the CDF due to the imprecision of the WMAP7 value of σ8. The vertical shaded regions denote the values of θeff for which the CDF takes a value equal to  with n ∈  [ 1,5] , as labelled in the panel. The red filled circle denotes the measured value of θeff for MACS J0717.5 and the short red arrow points at the corresponding value of the CDF.

Current usage metrics show cumulative count of Article Views (full-text article views including HTML views, PDF and ePub downloads, according to the available data) and Abstracts Views on Vision4Press platform.

Data correspond to usage on the plateform after 2015. The current usage metrics is available 48-96 hours after online publication and is updated daily on week days.

Initial download of the metrics may take a while.