Free Access

Fig. 11

thumbnail

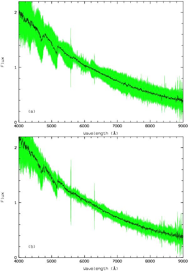
Median and standard deviation for the spectra of DQ white dwarfs found in the 8-cell neighbourhood of objects from the catalogue of Koester & Knist (2006): a) for 22 objects which are in the input catalogue; and b) for another 22 similar spectra which are not.

This figure is made of several images, please see below:

Current usage metrics show cumulative count of Article Views (full-text article views including HTML views, PDF and ePub downloads, according to the available data) and Abstracts Views on Vision4Press platform.

Data correspond to usage on the plateform after 2015. The current usage metrics is available 48-96 hours after online publication and is updated daily on week days.

Initial download of the metrics may take a while.