Highlight
Free Access

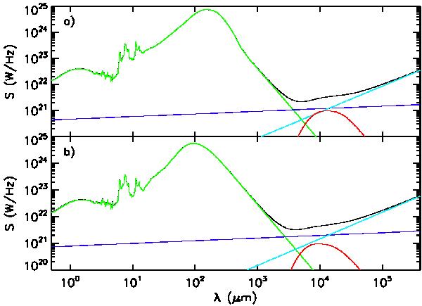
Fig. 1

thumbnail

SED template for a galaxy with a bolometric luminosity of 1011   L (black line), contribution of IR dust emission (green line), free-free emission (blue line), synchrotron emission calculated for case A (cyan line), and spinning dust emission (red line). a) Normal spiral galaxy template. b) Star-forming galaxy template.

Current usage metrics show cumulative count of Article Views (full-text article views including HTML views, PDF and ePub downloads, according to the available data) and Abstracts Views on Vision4Press platform.

Data correspond to usage on the plateform after 2015. The current usage metrics is available 48-96 hours after online publication and is updated daily on week days.

Initial download of the metrics may take a while.