Free Access

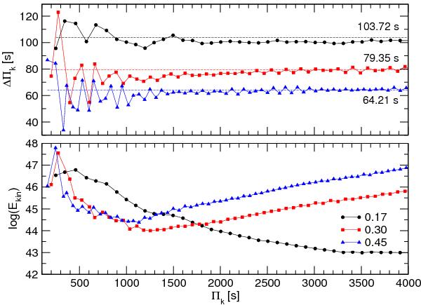
Fig. 11

thumbnail

The dipole forward period spacing (upper panel) and the oscillation kinetic energy (lower panel) in terms of the periods for models with M = 0.17 M, M = 0.30 M, and M = 0.45 M, all of them characterized by a Teff = 9000 K. The horizontal lines in the upper panel correspond to the asymptotic period spacings computed with Eq. (1).

Current usage metrics show cumulative count of Article Views (full-text article views including HTML views, PDF and ePub downloads, according to the available data) and Abstracts Views on Vision4Press platform.

Data correspond to usage on the plateform after 2015. The current usage metrics is available 48-96 hours after online publication and is updated daily on week days.

Initial download of the metrics may take a while.