Free Access

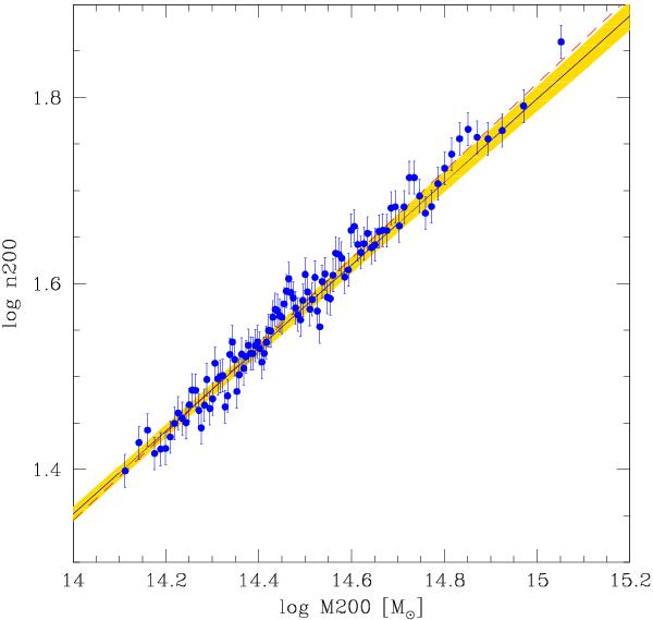
Fig. 9

thumbnail

Richness-mass scaling for the simulated PS1+Euclid-like data. The solid line marks the regression line fitted on observed data. The shaded region marks the 68% highest posterior credible interval for the regression. The red dashed line indicates the input relation. The data points are stacks of true data in bins of 201 clusters each, true data were never used in the fitting.

Current usage metrics show cumulative count of Article Views (full-text article views including HTML views, PDF and ePub downloads, according to the available data) and Abstracts Views on Vision4Press platform.

Data correspond to usage on the plateform after 2015. The current usage metrics is available 48-96 hours after online publication and is updated daily on week days.

Initial download of the metrics may take a while.