Free Access

Fig. 4

thumbnail

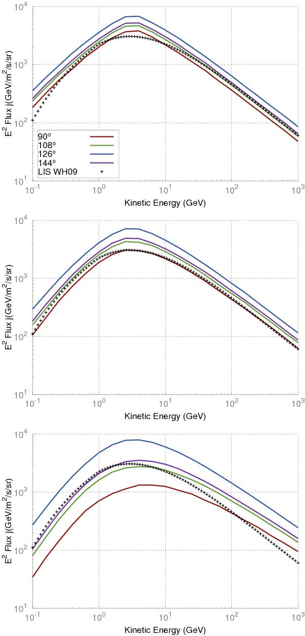
Calculated CR proton spectra (multiplied by E2) at four different positions along the Sun’s orbit (see Fig. 1 for the respective locations) in the Galactic plane (z = 0), where 90° corresponds approximately to the current solar system position and 126° is inside of the Saggitarius arm. The upper panel shows the spectra for isotropic diffusion, while the middle and lower panels include anisotropic diffusion with ϵ = 0.1 and ϵ = 0.01, respectively. The latter spectra have been rescaled by factors of 0.15 and 0.05 to account for the higher overall flux due to the stronger confinement in the disk in contrast to the isotropic case. The LIS from Webber & Higbie (2009) is plotted for comparison (black crosses).

This figure is made of several images, please see below:

Current usage metrics show cumulative count of Article Views (full-text article views including HTML views, PDF and ePub downloads, according to the available data) and Abstracts Views on Vision4Press platform.

Data correspond to usage on the plateform after 2015. The current usage metrics is available 48-96 hours after online publication and is updated daily on week days.

Initial download of the metrics may take a while.