Highlight
Free Access

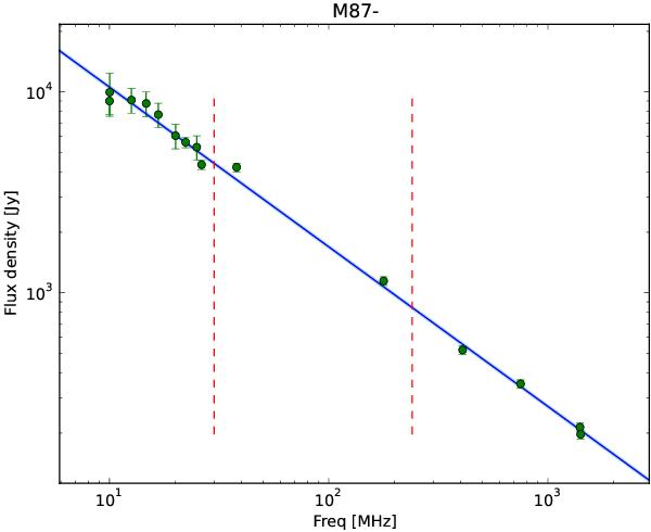
Fig. 4

thumbnail

Integrated flux of Virgo A at different frequencies obtained from archival data. The line is a linear fit (slope: −0.79) obtained as described in the text. The two vertical dashed lines indicate the boundaries of the LOFAR observing band.

Current usage metrics show cumulative count of Article Views (full-text article views including HTML views, PDF and ePub downloads, according to the available data) and Abstracts Views on Vision4Press platform.

Data correspond to usage on the plateform after 2015. The current usage metrics is available 48-96 hours after online publication and is updated daily on week days.

Initial download of the metrics may take a while.