Free Access

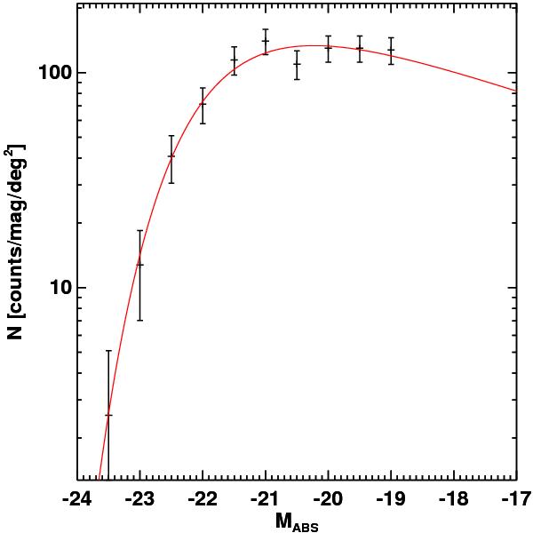
Fig. 11

thumbnail

A 1413 luminosity function in the R band for galaxies selected by their photometric redshift and within a 15′ radius around the cluster center. The solid red line show the best fit luminosity function.

Current usage metrics show cumulative count of Article Views (full-text article views including HTML views, PDF and ePub downloads, according to the available data) and Abstracts Views on Vision4Press platform.

Data correspond to usage on the plateform after 2015. The current usage metrics is available 48-96 hours after online publication and is updated daily on week days.

Initial download of the metrics may take a while.