Free Access

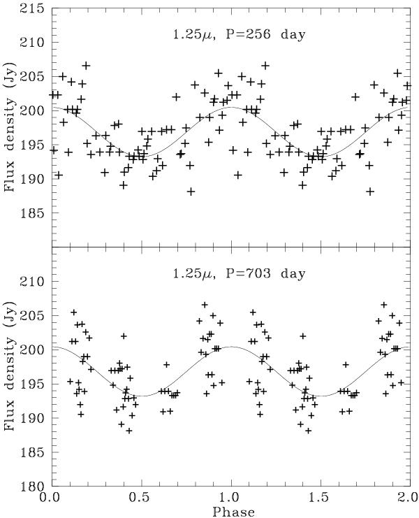
Fig. 3

thumbnail

1.25μ flux intensity measurements of HD 66141 phased to the period of the 256 (top panel) and 703 days (bottom panel). Epochs of maximum flux for 256-day and 703-day periods are JD 2 447 945.3 and JD 2 448 098.0.

Current usage metrics show cumulative count of Article Views (full-text article views including HTML views, PDF and ePub downloads, according to the available data) and Abstracts Views on Vision4Press platform.

Data correspond to usage on the plateform after 2015. The current usage metrics is available 48-96 hours after online publication and is updated daily on week days.

Initial download of the metrics may take a while.